Чертёж
Победители
И еще 5000 победителей
Информация по конкурсу
Друзья, рады вам представить обновленный формат нашего конкурса! Теперь каждый участник - победитель.
В конкурсе появился общий призовой фонд и все участники получают долю от этого фонда.
Чем больше у вас собрано чертежей - тем выше ваш процент от фонда.
Отдельно мы наградим топ 10 конкурса. Самые активные участники получат бонус в виде дополнительного золота!
Процент от призового фонда зависит от количества участников и количества собранных вами чертежей. Более подробная формула ниже
Часто задаваемые вопросы
Какие сроки проведения конкурса?
Итоги конкурса будут подведены 2026.03.08 в 18:00 по московскому времени.
Кто может участвовать в конкурсе?
Любой пользователь.
Кто получит награду?
Все участники, собравшие хотя бы один чертёж.
По какому принципу распределяются места в турнирной таблице?
Места распределяются исходя из количества собранных чертежей и фрагментов.
Как формируется призовой фонд?
Призовой фонд состоит из суммы двух частей: несгораемой суммы и динамической части.
Несгораемая сумма - это золото, предоставленное нашим сайтом. Оно будет гарантированно распределено между участниками.
Динамическая часть - это золото, которое растёт благодаря участникам конкурса. Каждый из них вносит свой вклад, а сама сумма формируется из всех чертежей и фрагментов, делённых на 20.
На данный момент:
- Суммарный призовой фонд: 0 G
- Несгораемая сумма: 0 G
- Динамическая часть: 0 G
Где посмотреть текущий призовой фонд?
Просто наведите курсор мыши на число золота в соответствующем блоке. Там подробно будет расписана структура призового фонда.

На данный момент:
- Всего золота на кону: 0 G
- Призовой фонд: 0 G
- Золото за нахождение в топе: 0 G
Где посмотреть развёрнутую информацию о своём призе?
Просто наведите курсор мыши на число золота в блоке с вашей статистикой. Там подробно будет расписана структура вашего потенциального выигрыша.

Где посмотреть развёрнутую информацию о призе других участников?
Просто наведите курсор мыши на число золота в соответствующей колонке турнирной таблицы. Там подробно будет расписана структура потенциального выигрыша участника.

По какому принципу делится призовой фонд между участниками?
Чтобы разобраться, нужно немного вспомнить математику.
Призовой фонд делится между участниками по экспоненциальной формуле, которая усиливает разницу между результатами. Это значит: чем больше у тебя чертежей, тем быстрее растёт твоя доля в общем призе.
Как это работает:
-
Чертежи всех участников приводятся к диапазону от 0 до 1 (нормализуются), чтобы сравнение было справедливым:

Где:
si — чертежи игрока
smin и smax — минимальные и максимальные чертежи среди всех участников
-
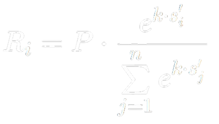
Формула распределения приза:

Где:
Ri — приз игрока
P — общий призовой фонд
k — коэффициент "остроты" (чем больше k, тем сильнее награда за высокий результат), равен 4.5
e — основание натурального логарифма (примерно 2.718)
n — общее число участников
Что это значит простыми словами?
- Если ты набрал больше чертежей, ты получишь не просто немного больше, а значительно больше, чем другие.
- Однако даже те, кто не попал в топ, всё равно получат часть приза — просто меньше.
- Такой подход делает игру честной и соревновательной: чем лучше результат — тем круче награда.
Что влияет на выпадение фрагментов?
На выпадение фрагментов влияет ваш рейтинг. Его можно приобрести в магазине рейтинга или открыть любой кейс.
Что такое ускорители и для чего они нужны?
Ускорители позволяют получить преимущество над другими игроками и быстрее продвигаться в турнирной таблице. Активировать их можно выше.
Что такое обмен фрагментов и для чего он нужен?
Обмен фрагментов позволяет вам получать недостающие фрагменты для сбора чертежа. Обменивайте лишние фрагменты низкого уровня, для получения недостающих фрагментов высокого уровня.
Что такое «кот в мешке» и как он работает?
«Кот в мешке» это секретный бонус от сайта. Важно! Его открытие - лотерея. Вы можете и получить чертежи, и потерять их.
Что такое неравномерность фрагментов?
Неравномерность — это разница в количестве фрагментов разных номиналов. Чем больше одних фрагментов и меньше других, тем выше неравномерность. Высокая неравномерность может ухудшать курс обмена. Если распределение более равномерное, курс становится выгоднее.

Лента отзывов